A software tool to measure and attribute spatially stratified heterogeneity:
the ubiquitous phenomenon in nature wherein within strata are more similar than between strata across all scales
Spatially Stratified Heterogeneity (SSH) is a phenomena that the within strata are more similar than the between strata. Examples of this include landuse types and climate zones and remote sensing classiciation in spatial data, weeks and seasons and years in time series, occupations and age groups and incomes strata in more dimensions. SSH occurs in all scales from universe to DNA, and has been studied since Aristotle time.
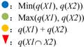
Geodetector is a statistic to: (1) measure and identity SSH among data (Fig. 1); (2) test the coupling between two variables Y and X without assuming linearity of the association and with clear physical meanings (Fig. 1); and (3) investigate the general interaction between two explanatory variables X1 and X2 and a response variable Y, without any specific form of interaction such as the assumed product in econometrics (Fig. 2). Since it was published in 2010, Geodetector has been used by scholars from 62 countries in over 5,500 articles, many published in the top disciplinary or general journals, such as GRL, JGR, EST, RSE, JC, JH, WRR, and Lancet Planetory Health, Nature Communications.

Fig. 2. The General interaction between explanatory variables X1 and X2 impacting on a response variable Y : q (Y | X1 ∩ X2)